Víctor Henríquez Auba1 ID · Carmen Hurtado2 ID· Carla Mancilla Asencio1 ID· Pauline Herman1 ID Alexandra Neman3 ID· Zoltán Berger1 ID
1Servicio de Gastroenterología, Departamento de Medicina
Interna.
2Laboratorio de Gastroenterología, Servicio de Gastroenterología,
Departamento de Medicina Interna.
3Facultad de Medicina, Universidad de
Chile.
Hospital Clínico Universidad de Chile. Chile.
Acta Gastroenterol Latinoam 2026;56(1):94-101
Recibido: 16/12/2025 / Aceptado: 19/03/2026 / Publicado online: 31/03/2026 / https://doi.org/10.52787/agl.v56i1.579
Introducción. La malnutrición y sarcopenia aumentan la morbi-mortalidad en pacientes cirróticos. La insuficiencia pancreática exocrina agrava el déficit nutricional. Objetivo. Evaluar la función exocrina del páncreas mediante elastasa fecal en pacientes con cirrosis hepática por alcohol y otras causas. Materiales y métodos. Estudio transversal, descriptivo en pacientes con cirrosis a los que se les realizó una elastasa fecal en el Hospital Clínico Universidad de Chile entre febrero de 2016 y julio de 2023. Se evaluaron variables demográficas, clínicas, nutricionales y de sobrevida. Resultados. Se estudiaron 85 pacientes, mediana de edad de 60 años. Las etiologías más frecuentes fueron consumo de alcohol en 40 (47%) e hígado graso metabólico en 21 (25%). De los 85 pacientes, el 88% presentó elastasa fecal > a 200 µg/g, un 5% 100-199 µg/g y un 7% < 100 µg/g. La elastasa fecal fue significativamente menor en cirróticos alcohólicos versus otras etiologías (p = 0,003). De los pacientes con cirrosis por alcohol un 20% presentó elastasa fecal < 200 µg/g (15% < 100 µg/g). Los pacientes que bebían >20 g/día de alcohol tuvieron elastasa fecal significativamente menor (p = 0,013) que aquellos que bebían menos. Conclusión. En pacientes con cirrosis por alcohol, encontramos un 20% de elastasa fecal disminuida. El consumo > 20g/día de alcohol se asocia a menores niveles de elastasa fecal. Considerando que la malnutrición y sarcopenia inciden en el pronóstico y que la insuficiencia pancreática exocrina puede no ser clínicamente evidente, consideramos que podría justificarse la medición de elastasa fecal en pacientes con cirrosis por alcohol, en particular cuando existe déficit nutricional.
Palabras claves. Elastasa, insuficiencia pancreática, cirrosis.
Introduction. Malnutrition and sarcopenia increase morbidity and mortality in patients with liver cirrhosis. Exocrine pancreatic insufficiency may further worsen nutritional deficits. Aim. To evaluate exocrine pancreatic function using fecal elastase in patients with liver cirrhosis due to alcohol and other causes. Materials and methods. Cross-sectional descriptive study including patients with cirrhosis who underwent fecal elastase testing at the Hospital Clínico Universidad de Chile between February 2016 and July 2023. Demographic, clinical, nutritional, and survival variables were evaluated. Results. Eighty-five patients were included, with a median age of 60 years. The most frequent etiologies were alcohol consumption in 40 patients (47%) and metabolic dysfunction–associated steatotic liver disease in 21 (25%). Of the 85 patients, 88% had fecal elastase > 200 µg/g, 5% had values between 100 - 199 µg/g, and 7% had values < 100 µg/g. Fecal elastase levels were significantly lower in patients with alcohol-related cirrhosis compared with those with other etiologies (p = 0.003). Among patients with alcohol-related cirrhosis, 20% had fecal elastase < 200 µg/g (15% < 100 µg/g). Patients consuming > 20 g/day of alcohol had significantly lower fecal elastase levels (p = 0.013) than those with lower consumption. Conclusion. In patients with alcohol-related cirrhosis, we found a 20% prevalence of reduced fecal elastase. Alcohol consumption > 20 g/day was associated with lower fecal elastase levels. Considering that malnutrition and sarcopenia influence prognosis and that exocrine pancreatic insufficiency may be clinically silent, measurement of fecal elastase could be justified in patients with alcohol-related cirrhosis, particularly when nutritional deficits are present.
Keywords. Elastase, pancreatic insufficiency, cirrhosis.
Abreviaturas
IPE: Insuficiencia Pancreática Exocrina.
EF: Elastasa Fecal.
IMC: Índice de
Masa Corporal.
PC: Pancreatitis Crónica.
MASLD: Metabolic Dysfunction-Associated
Steatotic Liver Disease.
La relación entre la función exocrina del páncreas y la enfermedad hepática es compleja, con información discordante en la literatura. Mientras estudios en humanos y animales sugieren un estado de hipersecreción pancreática en cirrosis, otros muestran una disminución de la función exocrina. Los estudios de Turnberg, Renner y Hayakawa y col. describieron un aumento en el volumen del jugo pancreático y de la secreción de bicarbonato y electrolitos en respuesta a la estimulación con secretina-colecistokinina (CCK) en pacientes cirróticos, en comparación con controles, especulándose una disminución del clearance hepático de secretina-CCK como mecanismo fisiopatológico entre otros.1-3 Por el contrario, Sakai y col. encontró una disminución en la excreción urinaria de ácido para-amino benzoico (PABA) en pacientes cirróticos comparados con pacientes con hepatitis crónica sin cirrosis, concluyendo una disminución de la función pancreática exocrina en los primeros.4 Rabih y col., encontraron un 55% de insuficiencia pancreática exocrina (IPE) en pacientes con enfermedad hepática alcohólica estudiados con triglicéridos marcados en aire espirado (13C-mixed triglyceride breath test),5 mientras que Aparisi y col. evaluaron la función pancreática exocrina mediante elastasa fecal (EF) en pacientes alcohólicos, encontrando valores < 200 ug/g en 7% de los cirróticos.6
Por otro lado, el abuso de alcohol es un factor común de daño hepático y pancreático que podría condicionar la presencia de IPE en pacientes con cirrosis de etiología alcohólica.7, 8
Determinar la presencia de IPE en pacientes con cirrosis hepática es clínicamente relevante. La malnutrición y sarcopenia aumentan la morbi-mortalidad en estos pacientes y deterioran el pronóstico postrasplante.9, 10, 11 La medición de EF mediante inmunoensayo enzimático (ELISA) como medida de la función exocrina del páncreas es un test indirecto, no invasivo, de elevada sensibilidad y especificidad para detectar niveles moderados y severos de IPE.12 Un valor de <100 apoya el diagnóstico de IPE severa con alta probabilidad, mientras que valores entre 100 y 200 deben interpretarse con más precaución, considerando evaluaciones complementarias (déficit de vitaminas liposolubles, presencia de sarcopenia, etc) para definir su real impacto clínico.
Considerando la contribución de la IPE al estado de malnutrición en pacientes con cirrosis hepática y su importancia en el pronóstico, el objetivo del presente estudio fue evaluar la función pancreática exocrina en pacientes con cirrosis hepática de etiología alcohólica y no alcohólica, mediante la medición de EF.
Estudio observacional, transversal y analítico realizado en el Hospital Clínico Universidad de Chile, entre febrero de 2016 y julio de 2023. Se incluyeron pacientes con diagnóstico de cirrosis hepática, mayores de 18 años. El diagnóstico de cirrosis hepática se basó en la presencia de elementos clínicos e imágenes avanzadas (tomografía computada o resonancia magnética). De manera adicional, en algunos casos se dispuso de diagnóstico histológico, lo que no se consideró necesario para la inclusión. La determinación de elastasa fecal se realizó a pacientes consecutivos, que aceptaron realizarse el examen, sin selección según criterios clínicos. Se excluyeron pacientes con otras causas de IPE como antecedente de pancreatectomía, pancreatitis necrotizante, cáncer de páncreas, obstrucción pancreática o resección gástrica. No se excluyeron pacientes con pancreatitis crónica, dada la eventual asociación con enfermedad hepática alcohólica. La EF se realizó en el laboratorio de gastroenterología por ELISA cuantitativo (ScheBo, Alemania), asegurando muestra sólida de deposiciones. Se consideró suficiencia pancreática un valor > 200 µg/g, insuficiencia exocrina moderada entre 100 y 200 µg/g e insuficiencia exocrina severa < 100 µg/g. Se obtuvieron de la historia clínica datos de variables demográficas, clínicas y de laboratorio e imágenes. El consumo diario de alcohol fue estimado según encuesta realizada por el médico tratante. Los pacientes catalogados como cirrosis por hígado graso metabólico (Metabolic Dysfunction-Associated Steatotic Liver Disease [MASLD]) consumieron menos de 20 g/día de alcohol.13
Análisis estadístico
El análisis de resultados fue realizado usando estadística descriptiva y analítica. Las variables categóricas se describieron mediante frecuencia absoluta y porcentaje. Las variables continuas con mediana, valor mínimo y máximo, ya que no se distribuyeron normalmente. Se compararon variables demográficas, clínicas y los niveles de EF entre los pacientes con cirrosis asociada a consumo de alcohol y las otras etiologías mediante Mann Whitney y test de chi2 o test exacto de Fisher. Se consideró un p < 0,05 como estadísticamente significativo. Se utilizó el programa esta-dístico STATA SE 17.0 (StataCorp, Texas, USA).
Consideraciones éticas
El proyecto fue aprobado por el Comité de Ética del Hospital Clínico Universidad de Chile y autorizado por la Dirección Médica. Los pacientes firmaron consentimiento informado para participar del estudio. Se resguardó la confidencialidad de la información al momento de la revisión de los datos y el análisis estadístico se realizó con datos anonimizados.
Se identificaron 85 pacientes con cirrosis a los que se midió la EF en el período estudiado, 32 mujeres y 53 hombres, con una mediana de edad de 60 años (rango 29 – 78 años). La etiología de la cirrosis más frecuente fue por consumo de alcohol en 40 pacientes (47%), seguida por MASLD en 21 (25%), inmunológicas (hepatitis autoinmune, colangitis biliar primaria y sobreposición) en 18 pacientes (21%), etiología viral y otras causas en 6 pacientes (7%). De los pacientes con cirrosis por consumo de alcohol, 36 de 40 (90%) bebía más de 40 gramos diarios de alcohol. Con respecto a la cirrosis, la mediana de MELD-Na fue de 19 (rango 6 - 30), con un 55% de los pacientes clasificados como Child - Pugh C, 27% Child - Pugh B y 18% Child - Pugh A. La mediana de IMC fue de 26 kg/m2 (rango 18 - 39,8 kg/m2) y la de albúmina fue de 3,3 g/dl (rango 2 - 5,5 g/dl) (Tabla 1).
Se analizaron los estudios de imágenes disponibles, ya sea resonancia magnética o tomografía computada de abdomen. De los 85 pacientes, 83 presentaban un páncreas morfológicamente normal, 2 pacientes presentaban imagen compatible con pancreatitis crónica (PC) calcificante con atrofia, ambos con etiología alcohólica.
Se compararon las características demográficas de los pacientes con cirrosis por consumo de alcohol y cirrosis por otras etiologías, no presentando diferencia estadísticamente significativa en edad, IMC, albúmina sérica, MELD-Na ni clasificación de Child - Pugh. Se encontró una diferencia estadísticamente significativa en el sexo, donde el 83% de los pacientes que presentaban cirrosis por consumo de alcohol eran hombres, mientras que en las otras etiologías correspondía al 44% (Tabla 1).
Tabla 1. Comparación de características demográficas y clínicas en pacientes con
cirrosis por consumo de alcohol y otras etiologías
Los valores obtenidos de EF abarcaron desde 15 a 500 µg/g, con una mediana de 500 µg/g. Cabe destacar que los valores ≥ 500 µg/g fueron reportados como 500 µg/g por el laboratorio, por lo que la distribución presenta un efecto de truncamiento superior. El 88% de los pacientes (75/85) presentaba valores mayores a 200 µg/g, un 5% (4/85) entre 100 y 199 µg/g y un 7% (6/85) tenía valores menores a 100 µg/g.
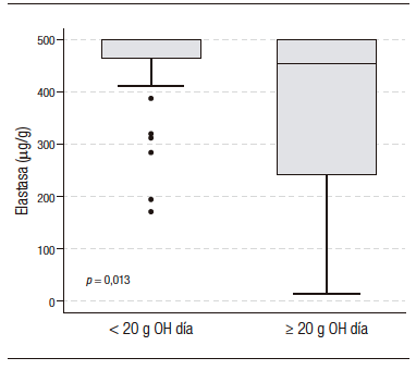
La mediana de EF en pacientes con cirrosis de etiología alcohólica (444 µg/g; rango 15-500) fue menor que en pacientes con cirrosis por otras etiologías (500 µg/g; rango 173-500), siendo esta diferencia estadísticamente significativa (p = 0,003). Se encontró una EF menor a 200 µg/g en un 20% (8/40) de los pacientes con cirrosis por consumo de alcohol versus un 4% (2/45) en la cirrosis por otras etiologías (p = 0,049). Entre estos pacientes, la EF fue menor a 100 µg/g en un 15% (6/40) de los pacientes con cirrosis por consumo de alcohol no observándose en ningún paciente en cirrosis por otras etiologías (p = 0.0025) (Figura 1). Al evaluar el valor de EF según el consumo diario de alcohol se encontró que en los pacientes que bebían más de 20 g al día de alcohol el valor mediano de EF (454 µg/g; rango 15-500), si bien dentro del rango de normalidad, fue significativamente menor que en aquellos que bebían menos (500 µg/g; rango 173-500) (p = 0,013) (Figura 2).
Figura 1. Porcentaje de pacientes con elastasa fecal baja según etiología de la
cirrosis hepática
Figura 2. Boxplot del valor de elastasa fecal según consumo de
alcohol: mayor a 20 g al día en comparación a la ausencia de consumo de alcohol o consumo menor de 20 g
al día (n = 85)
No se encontró asociación significativa entre el nivel de EF con el IMC, niveles de albúmina sérica, clasificación de Child o puntaje MELD-Na.
Al analizar el grupo de 10 pacientes con EF < 200, ninguno de los pacientes refirió esteatorrea, 8 de ellos presentaban cirrosis por alcohol, de los cuales 7 bebían más de 40 g de alcohol. Entre los 6 pacientes con EF < 100 µg/g, 2 pacientes tenían PC con calcificaciones y atrofia.
Del total de 85 pacientes seguidos a julio de 2023, 68 (80%) se encontraban vivos, 21 de ellos (25%) recibieron un trasplante hepático, 17 fallecieron (20%). De los 10 pacientes con elastasa menor a 200 µg/g, 1 falleció durante el tiempo del estudio por shock séptico y 2 recibieron trasplante hepático, ambos por cirrosis por consumo de alcohol; no se encontró ninguna diferencia en la evolución relacionada con el valor de EF.
En este estudio transversal que evaluó la función pancreática exocrina mediante elastasa fecal en pacientes con cirrosis hepática, observamos que la gran mayoría de los pacientes presentó valores normales de elastasa fecal. Sin embargo, se identificaron diferencias relevantes según la etiología de la cirrosis. Los pacientes con cirrosis asociada al consumo de alcohol presentaron niveles de elastasa fecal significativamente menores que aquellos con otras etiologías y concentraron la mayor proporción de valores compatibles con insuficiencia pancreática exocrina, con un 20% de elastasa < 200 µg/g y un 15% < 100 µg/g. Además, el consumo de alcohol > 20 g/día se asoció con valores más bajos de elastasa fecal independientemente de la etiología de la cirrosis. Por el contrario, los niveles de elastasa fecal no se asociaron con la gravedad de la enfermedad hepática ni con parámetros nutricionales. En conjunto, estos hallazgos sugieren que la disfunción pancreática exocrina en la cirrosis no es un fenómeno generalizado, pero puede estar presente de forma subclínica en pacientes con cirrosis alcohólica.
En la práctica clínica habitual, no se evalúa la función pancreática exocrina en los pacientes con cirrosis. Siendo el alcohol un factor de riesgo común para enfermedad hepática y daño pancreático, es razonable pensar que en la cirrosis por consumo de alcohol puede haber una mayor prevalencia de IPE.
Desde los años 90 hay reportes de malabsorción en cirrosis, no dependiente de daño a la mucosa intestinal, asociada a esteatorrea por malabsorción grasa.14 Posteriormente se encontró daño pancreático en autopsias de pacientes cirróticos con consumo excesivo de alcohol.15 Finalmente, un meta-análisis reciente sobre 29 estudios, mostró una prevalencia de 16% de PC en pacientes con cirrosis asociada a alcohol.16
Si bien la mayoría de nuestros pacientes cirróticos por alcohol presentó un valor de EF indiscutiblemente normal (> 500 µg/g), encontramos un 20% de pacientes con EF anormal < 200 µg/g. Lamentablemente, no contamos con una evaluación nutricional detallada que permitiera interpretar el impacto clínico, en especial en pacientes con elastasa entre 100 y 199 µg/g. Por otro lado, el valor de EF fue significativamente menor en pacientes que bebían más de 20 g al día de alcohol, independiente de la etiología de la cirrosis. Esta prevalencia es mayor que la de 7% que mostró el estudio de Aparisi y col.6 En dicho estudio se evaluaron 140 pacientes alcohólicos, encontrando 14% de IPE en aquellos sin cirrosis ni PC y 94% de IPE en pacientes con PC. No se encontraron pacientes con coincidencia de cirrosis y PC y llamativamente, se encontró una relación inversa entre los niveles de EF y la función hepática evaluada mediante el aclaramiento de indocianina. En nuestro estudio, del grupo con EF < 200 µg/g, 2 pacientes tenían imágenes compatibles con PC calcificante, ambos con consumo de alcohol > 40 gramos por día. Por otro lado, nuestra prevalencia de IPE fue menor a la del 55% que reportó Rabih y col. en cirróticos por alcohol. Ese estudio evaluó la función pancreática mediante estudio de triglicéridos marcados en aire espirado (13C-mixed triglyceride breath test) y en el grupo control, compuesto principalmente por pacientes con cirrosis por virus C, se encontró un 16% de IPE. La presencia de IPE se asoció al sexo masculino, consumo de alcohol y presencia de PC.5
Otro factor a considerar es la ausencia de esteatorrea clínica, incluso en pacientes con EF < 100 µg/g. En un reciente estudio dirigido a pesquisar PC e IPE en cirróticos descompensados, Llibre-Nieto y col. evaluaron 112 pacientes con cirrosis de etiología predominantemente alcohólica. Se encontró un 26% de pacientes con EF baja (< 200 µg/g) y 11 pacientes (9%) que cumplieron criterio imagenológico de PC. Del grupo con elastasa < 200 µg/g, el 28% presentaba esteatorrea y un 15% diarrea.17 En nuestro estudio, ningún paciente con EF baja refirió esteatorrea. Los niveles bajos de EF no se asociaron con el grado de avance de la cirrosis (Child, MELD Na), ni con los niveles de albúmina o el IMC. Por otro lado, la interpretación de síntomas como diarrea/esteatorrea es compleja en un grupo de pacientes habitualmente en tratamiento con laxantes y el IMC se ve influenciado por la retención hídrica.
Nuestros resultados llaman la atención a un fenómeno poco estudiado que puede contribuir a una evolución desfavorable en pacientes cirróticos. Considerando la baja sensibilidad de las manifestaciones clínicas para el diagnóstico de IPE, los resultados obtenidos podrían justificar la medición preventiva de EF en pacientes con cirrosis, especialmente de etiología alcohólica.18 La EF es un método aceptado y disponible para la evaluación de la función pancreática exocrina. Su especificidad es de 0,69 considerando límite normal el valor de 200 µg/g y de 0,82 con límite normal de 100 µg/g a costa de la reducción de sensibilidad de 0,94 a 0,88.19 Los valores sobre 200 µg/g descartan IPE, mientras < 100 µg/g señalan IPE clínicamente significativa con alta probabilidad. Además, Di Magno y col. demostraron en su trabajo, ya clásico,20 que la pérdida del 90% de producción de lipasa es necesaria para llegar a una esteatorrea manifiesta. Sin embargo, la disminución de la producción de enzimas, sin llegar a este nivel, puede generar molestias clínicas.
Entre las limitaciones de nuestro estudio, se encuentra el número relativamente bajo de pacientes estudiados y la ausencia de una evaluación nutricional detallada (prealbúmina, hierro, vitaminas liposolubles, magnesio, etc). El diagnóstico de IPE requiere de una sumatoria de elementos que incluyen los síntomas, la evaluación del estado nutricional y un examen de función pancreática.21 La EF, por lo tanto, no establece el diagnóstico por sí sola, si bien valores < 100 aumentan significativamente su especificidad. En cuanto el estudio morfológico, no se realizó endosonografía, que es el método más sensible – y a su vez menos específico – para detectar PC incipiente. Sin embargo, la posibilidad de IPE es muy baja en las fases iniciales de esta enfermedad y la RM y TAC son sensibles y específicos en la detección de PC avanzada, cuando la insuficiencia exocrina y endocrina son más probables.
En esta cohorte de pacientes con cirrosis hepática, la mayoría presentó función pancreática exocrina conservada. Sin embargo, se observó una mayor frecuencia de valores bajos de elastasa fecal en pacientes con cirrosis de etiología alcohólica, así como niveles significativamente menores asociados al consumo de alcohol > 20 g/día. Estos hallazgos sugieren que la insuficiencia pancreática exocrina puede estar presente de forma subclínica en un subgrupo de pacientes con cirrosis, particularmente en aquellos con consumo de alcohol. En este contexto, la determinación dirigida de elastasa fecal podría ser considerada en pacientes con cirrosis alcohólica, especialmente cuando existe malnutrición o deterioro del estado nutricional.
Consentimiento para la publicación. Para la confección de este manuscrito, se utilizaron datos anonimizados que no han distorsionado su significado científico.
Propiedad intelectual. Los autores declaran que los datos, las figuras y las tablas presentes en el manuscrito son originales y se realizaron en sus instituciones pertenecientes.
Financiamiento. Este estudio fue financiado por la Oficina de Apoyo a la Investigación Clínica del Hospital de la Universidad de Chile (Proyecto OAIC 742/15).
Conflicto de interés. Los autores declaran no tener conflictos de interés en relación con este artículo.
Aviso de derechos de autor

© 2026 Acta Gastroenterológica Latinoamericana. Este es un artículo de acceso abierto publicado bajo los términos de la Licencia Creative Commons Attribution (CC BY-NC-SA 4.0), la cual permite el uso, la distribución y la reproducción de forma no comercial, siempre que se cite al autor y la fuente original.
Cite este artículo como: Henríquez Auba V, Hurtado C, Mancilla Asencio C y col. Insuficiencia pancreática exocrina en cirrosis hepática: estudio de corte transversal. Acta Gastroenterol Latinoam. 2026;56(1):94-101. https://doi.org/10.52787/agl.v56i1.579
Correspondencia: Carla Mancilla Asencio
Correo electrónico: carlitamancilla@yahoo.com
Acta Gastroenterol Latinoam 2026;56(1):94-101